当前位置: 首页 > 新闻资讯  > 中小学 > 高考

山东省2018年高考一分一段表(文理)

2018/6/25 18:13:07 人气值:

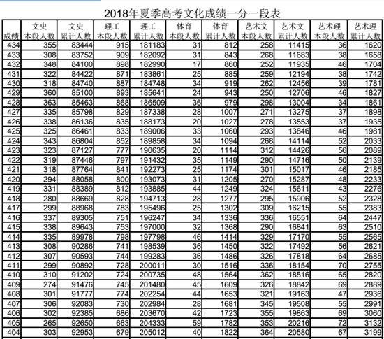
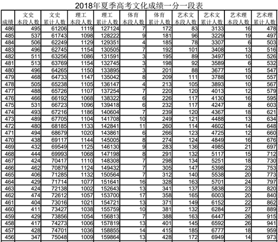
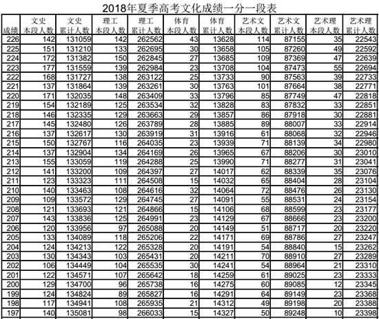
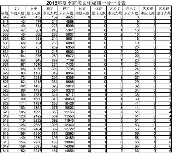
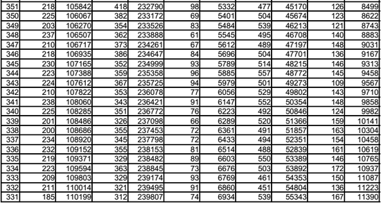
2018年6月24日,山东省2018年高考一分一段表(文理)已发布,如图所示: 来源:山东省教育考试厅

  2018年6月24日,山东省2018年高考一分一段表(文理)已发布,如图所示:

 来源:山东省教育考试厅


来源:新浪教育

相关资讯

    暂无相关的数据...